Permintaan (demand) adalah jumlah barang atau jasa yang ingin dan mampu dibeli konsumen pada berbagai tingkat harga pada periode tertentu. Bunyi hukum permintaan “Semakin rendah harga suatu barang, semakin banyak permintaan terhadap barang tersebut. Begitu juga sebaliknya”.
Faktor-Faktor yang Memengaruhi Permintaan
- Harga barang itu sendiri = Harga barang yang murah namun berkualitas umumnya akan mendatangkan banyak peminat, sehingga permintaan tinggi.
- Pendapatan konsumen = Semakin tinggi tingkat pendapatan konsumen, daya beli konsumen akan suatu barang juga akan meningkat. Sehingga permintaan terhadap suatu barang tersebut juga akan meningkat pula.
- Harga barang subtitusi dan komplementer = Barang subtitusi adalah barang pengganti yang fungsinya sama. Sedangkan barang komplementer adalah barang pelengkap agar barang tersebut bisa digunakan. Contoh barang subtitusi yaitu beras dan jagung. Ketika harga beras naik, maka masyarakat akan mencari alternatif lain yang harganya lebih terjangkau. Contoh barang komplementer yaitu kopi dan gula. Ketika harga kopi naik, permintaan kopi akan turun yang kemudian diikuti turunnya permintaan gula.
- Selera konsumen (taste) = Jika suatu barang sesuai dengan selera konsumen, maka permintaan terhadap suatu barang itu akan meningkat.
- Jumlah penduduk = Semakin besar jumlah penduduk suatu daerah atau negara, maka akan semakin banyak jumlah barang dan jasa yang akan dikonsumsi, sehingga semakin besar pula permintaan terhadap barang dan jasa.
- Ekspetasi (harapan konsumen) = Kenaikan harga sebuah barang di masa mendatang, menyebabkan konsumen mulai membeli barang tersebut lebih banyak di masa sekarang.
- Tingkat kebutuhan konsumen = Jika kebutuhan konsumen akan suatu barang tinggi, maka permintaan akan barang tersebut juga akan tinggi.
Kurva Permintaan

Kurva permintaan berbentuk miring dari kiri atas ke kanan bawah dan berslop negatif. Maksudnya, apabila harga turun, jumlah barang yang diminta naik.
Fungsi Permintaan
Qd = -aP + b
Keterangan :
Qd = Quantity demand (jumlah barang yang diminta )
a = Gradien
b = Konstanta
P = Price (harga)
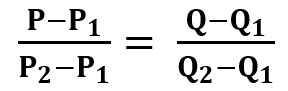
Untuk mencari fungsi permintaan dapat dilakukan dengan rumus :

Keterangan :
P = Price (harga)
P1 = Harga diketahui (1)
P2 = Harga diketahui (2)
Q = Jumlah barang yang diminta
Q1 = Jumlah barang yang diminta diketahui (1)
Q2 = Jumlah barang yang diminta diketahui (2)
Elastisitas permintaan merupakan gambaran tentang sejauh mana permintaan suatu produk merespons perubahan harga. Jenis-jenis elastisitas permintaan:
- Penawaran Elastis (Ed> 1 )
- Penawaran Inelastis (Ed < 1 )
- Penawaran Uniter / Normal (Ed = 1 )
- Penawaran Elastis Sempurna (Ed = ∞ )
- Penawaran Inelastis Sempurna (Ed = 0 )
Rumus Elastisitas Permintaan

Keterangan:
∆Q = Perubahan jumlah barang yang diminta
∆P = Perubahan harga
P = Harga barang diketahui (1)
Q = Jumlah barang yang diminta diketahui (1)
Untuk memperkuat pemahamanmu, mari berlatih mengerjakan soal fungsi permintaan dan elastisitas permintaan!
- Fungsi permintaan Qd = 105 – 3 Pada saat jumlah permintaan 15 unit, maka harga per unit adalah…
- Pada saat harga barang Rp4.000 jumlah barang yang diminta 600 unit. pada saat harga naik menjadi Rp6.000 jumlah barang yang diminta 500 unit. Tentukan fungsi permintaannya!
- Harga 5 kg telur Rp25.000 jumlah permintaan 50 kg, sedangkan pada saat harga naik menjadi Rp50.000 jumlah permintaan menjadi 25. Koefisien elastisitas permintaannya adalah…












